Všechny fyzikální děje probíhají v prostoru a v čase. Prostor a čas patří mezi základní fyzikální pojmy. Představy o těchto pojmech se vytvářely a upřesňovaly v průběhu tisíciletí na základě každodenní lidské zkušenosti. Teorie relativity poměrně úzce souvisí s klasickou newtonovskou mechanikou, jejíž základy položil v 17. století ilei a především Isaac Newton. Newton zavedl ve své mechanice pojem absolutního prostoru a absolutního času a k nim vztahoval všechny pohyby, které pak označil jako absolutní. Naproti tomu George Berkeley na začátku 18. století Newtonovu absolutní soustavu odmítl a v mechanice zavedl pohyb relativní vůči hvězdnému nebi.
Teorie relativity stojí na pomezí klasické a současné fyziky. U jejího zrodu stál problém s šířením světla. Z Maxwellových rovnic plynulo, že světlo je podobně jako zvuk vlnění. Ten ke svému šíření potřebuje látkové prostředí (plyn, kapalinu, pevnou látku), a proto se i světlo podle tehdejších představ nemůže šířit ničím! Tak se zrodil éter, nehmotné, nezjistitelné prostředí, které se samo nabízelo jako absolutní vztažná soustava. Fyzikové se domnívali, že je jako celek ve vesmíru v klidu, protože kdyby se pohyboval určitým směrem, pak by se musel na jedné straně vesmíru trvale zhušťovat a na druhé neustále zřeďovat. Nalezením rychlosti Země vůči éteru by byla určena její rychlost v absolutní vztažné soustavě – potvrdil by se předpoklad existence absolutní vztažné soustavy. Již od doby Galilea bylo známo, že žádnými mechanickými ději nelze zjistit absolutní pohyb Země. Proto bylo použito dějů optických. První se o to pokusil Francois Arago s použitím světla hvězd, ale neuspěl. Nejznámější pokus navrhl v roce 1881 Hendrik Lorentz a Henri Poincaré. Experiment provedl Albert Michelson a chtěl ukázat, že jevy závisí na (v/c)2. Světlo nechal dopadat pod úhlem 45° na polopropustnou desku, která část světla propustila a část odrazila. Rozdělený paprsek dopadl na dvě zrcadla, jedno leželo ve východním směru, druhé v severním směru. Po odrazu od zrcadel spolu oba paprsky interferovaly.
Scéma Michelson-Morleyho pokusu.
Zdroj: Techmania Science Center. Autor: Magda Králová. Under Creative Commons.
Pokus provedl v roce 1881 v Postupimi, očekávané jevy nezjistil, vytýkala se mu nedostatečná citlivost interferometru. Proto experiment zopakoval v roce 1887 v USA ve spolupráci s Edwardem Morleyem. Citlivost se jim podařilo zvýšit díky několikanásobnému odrazu paprsku. V roce 1880 se mu podařilo změřit rychlost světla metodou rotujících zrcadel s přesností 10-5. Trvalo mu dalších 42 let, než dosáhl o dva řády vyšší přesnosti. Při svých posledních experimentech ve 20. letech 20. století provedl na 3000 experimentů, při nichž světlo procházelo evakuovanou trubicí délky 1,5 km mezi vrcholky hor Mt. Wilson a Mt. San Antonio.
Podle éterové teorie mělo být naměřeno posunutí interferenčních proužků, ale nebylo. Proč? Odpověď najdeme v jednoduché úvaze. Rychlost propuštěného paprsku je c – u a po odrazu c + u, doba za jakou dopadne paprsek na stínítko
![]()
Pro odražený paprsek musí platit Pythagorova věta
Pythagorova věta, která platí pro odražený paprsek.
Zdroj: Techmania Science Center. Autor: Magda Králová. Under Creative Commons.

A odtud t2

Časový rozdíl obou paprsků je tedy
![]()
Tento neočekávaný výsledek donutil dublinského fyzika George Fitzgeralda k zavedení předpokladu, že ve směru pohybu se délky vzhledem ke klidnému pozorovateli zkracují. Jeho myšlenku převzal v roce 1892 H. A. Lorentz k řešení Maxwellových rovnic pro náboje pohybující se v éteru. Náboj v klidu kolem sebe budí elektrické pole dané potenciálem, který má stejné hodnoty ve stejných vzdálenostech, ekvipotenciální plochy tedy tvoří kulové plochy. Jestliže se náboj pohybuje rychlostí u, dojde k zploštění kulové ekvipotenciální plochy ve směru pohybu. Ekvipotenciální plocha bude mít tvar rotačního elipsoidu.
Tvar ekvipotenciální plochy.
Zdroj: Techmania Science Center. Autor: Magda Králová. Under Creative Commons.
Zkrácení proběhne v poměru

Jestliže se mění tvar ekvipotenciálních ploch, pak za předpokladu elektrostatické interakce částic musí dojít ke změně tvaru tělesa. Např. tyč o délce L0 v éteru v klidu, bude mít v pohybu délku

Pohybuje–li se rychlostí u ve směru délky tyče.
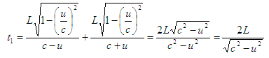
Na základě této úvahy můžeme objasnit negativní výsledek Michelsonova pokusu. Propuštěný paprsek neprojde dráhu L, ale dráhu zkrácenou, tzn. že čas t1

A časový rozdíl Δt = 0, což přesně odpovídá pozorované situaci.
Při pootočení celého zařízení o 90° by mělo za předchozích předpokladů dojít k posunu interferenčních proužků. Ale ani to Michelson neprokázal. Pokus ještě zopakoval několikrát v nejrůznějších obměnách, s různými materiály, různými zdroji světla (i mimozemskými), v různou denní i noční dobu, celý umístěný ve vakuu, plovoucí na hladině kapaliny (proti otřesům), v přesně udržované teplotě, ale výsledek byl vždy stejný. Pokus ukázal, že žádný absolutní pohyb Země a tím i éter neexistuje.
Další pokusy provedl Armand Hippolyte Fizeau, který chtěl dokázat strhávání světla v proudícím prostředí. Použil zahnutou skleněnou trubici s vodou, kterou nechal procházet světlo. Světlo po dopadu na stínítko vytvořilo interferenční světlý kroužek obklopený tmavým. Jestliže voda proudila, pak se tvar obrazce měl změnit, protože světlo v každé části trubice proudí jinou rychlostí. Na stínítku skutečně vznikl změněný interferenční obrazec, ale rychlost světla v proudící vodě neodpovídala předpovědi. Došlo jen k částečnému strhávání světla. Když trubici naplnil proudícím plynem nezjistil žádnou změnu rychlosti a k strhávání světla nedošlo.
K transformaci souřadnic.
Zdroj: Techmania Science Center. Autor: Magda Králová. Under Creative Commons.
Na základě elektronové teorie H. A. Lorentz odvodil v roce 1904 transformaci prostorových i časové souřadnice, která představuje přechod souřadnic ze soustavy v klidu do soustavy pohybující se ve směru osy x

Název Lorentzova transformace poprvé použil Henri Poincaré ve svém spise Sur la dynamique de l´electron. Při zanedbání členu v/c při nízkých rychlostech se Lorentzova transformace přemění na Galileovu transformaci, na které byla založena celá klasická mechanika.
![]()
Důsledkem Lorentzovy transformace je relativnost při měření délek a času. Lorentzova transformace nemá smysl pro vztažnou soustavu pohybující se rychlostí světla, protože hodnota jmenovatelů v první a čtvrté rovnici by byla rovna nule. Z rovnic rovněž plyne nemožnost pohybu rychlostí větší než c. Lorentzova transformace byla odvozena již dříve, v roce 1887 W. Voigtem a v roce 1900 J. Larmorem. Albert Einstein ji odvodil ve své první práci o speciální teorii relativity.
