Tepelný stav plynu můžeme určit i pomocí veličin, které jsou na stavových veličinách (teplota, objem a tlak) závislé. Jsou to veličiny vnitřní energie, entalpie a entropie. První dvě představují množství tepla a třetí také souvisí s teplem. Proto se nazývají kalorické stavové veličiny. Všechny mají společnou vlastnost – nelze je měřit, pouze vypočítat. U skutečných plynů neznáme absolutní hodnoty těchto veličin. V technických výpočtech proto vystupují pouze přírůstky nebo úbytky.
Vnitřní energie je zásoba tepla v plynu, která má původ v tepelném pohybu molekul. Její velikost závisí jen na teplotě. Vnitřní energie je teplo dodané plynu při stálém objemu
![]()
kde m je hmotnost plynu.
Entalpie I je teplo přivedené plynu za stálého tlaku, které se může přeměnit na vnitřní energii a na práci, kterou může plyn vykonat, tedy
![]()
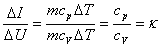
Jestliže změnu entalpie a vnitřní energie dáme do poměru
![]()
získáme Poissonovu konstantu charakteristickou pro každý plyn.
Entropie byla v roce 1865 zavedená Rudolfem Clausiem k rozlišení vratných a nevratných dějů. Název pochází z řeckého en – dovnitř a trepein obracet a naznačuje význam pojmu. Entropie totiž představuje znehodnocení energie nebo míru uspořádanosti systému, míru chaosu. Čím je systém uspořádanější, tím menší entropii má. U vratných dějů zůstává celková entropie rovna nule, zatímco u nevratných narůstá (podstata druhého termodynamického zákona). V souvislosti s entropií hovoříme o tzv. termodynamické šipce času, přičemž směr času zachycuje právě nárůst entropie. Entropie S je umělá, jen matematicky definovaná veličina
![]()
Jestliže se teplo přivádí, pak entropie vždy roste. Díky entropii můžeme graficky znázornit teplo. Jestliže z rovnice vyjádříme teplo ΔQ = TΔS, pak součin TΔS znázorňuje obsah elementární plochy, která představuje sdělené teplo v diagramu s osami entropie – teplota. To umožňuje sledovat přiváděné a odváděné teplo.
U molekulárních dějů souvisí entropie s pravděpodobností stavu, ke kterému děj směřuje. Protože každý přírodní děj probíhá samostatně tak, že míří od děje méně pravděpodobného ke stavu pravděpodobnějšímu, musí entropie určitého stavu záviset na pravděpodobnosti děje. Proto Ludwig Boltzman zavedl pro entropii vztah
![]()
kde w je pravděpodobnost stavu a k je Boltzmanova konstanta. Tato rovnice je vyryta na Boltzmanově hrobě.

