Při zkoumání Kerrova jevu (otočení polarizační roviny lineárně polarizovaného světla při odrazu na magnetickém pólu) se v roce 1895 zabýval Pieter Zeeman působením silného magnetického pole na světlo. Zpočátku byla jeho spektroskopická měření negativní. Až když použil tzv. Rowlandovu mřížku (válcové kovové zrcadlo s poloměrem křivosti 3,2 m a 5671 vrypy na jeden centimetr), objevil ve spektru NaCl dvě Fraunhofferovy čáry D. Bez magnetického pole byly obě čáry ostře ohraničené, při použiví magnetického pole se rozostřily (3-4krát). Vysvětlení Zeemanova jevu podal Arnold Sommerfeld a Peter Debye a je důkazem existence tzv. magnetického momentu atomů.
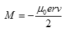
Pohybující se elektron, který je nositelem elektrického náboje, můžeme považovat za elementární elektrický proud. Elektron pohybující se po uzavřené kruhové nebo eliptické dráze vytváří obdobné magnetické pole jako proud tekoucí vodičem ve tvaru kruhové smyčky. Tvar magnetických siločar je stejný jako u permanentního magnetu. Vlastnosti magnetu charakterizuje magnetický moment M
![]()
kde μ0 je permeabilita vakua, S plocha omezená kruhovým proudem a I proud. Předpokládejme pro jednoduchost, že se elektron pohybuje po kruhové dráze s poloměrem r
![]()
Proud I závisí na počtu oběhů f náboje elektronu –e za jednotku času
![]()
a po dosazení do magnetického momentu
![]()
dosadíme-li za součin vr hybnost elektronu
![]()
a za hybnost kvantovací podmínku, může nabývat absolutní hodnoty

konstantu na začátku výrazu můžeme označit jako μB - tzv. Bohrův magneton

Bohrův magneton představuje magnetický moment elektronu v první kvantové dráze atomu vodíku.
Každé dráze elektronu v atomu tedy přísluší hlavní kvantové číslo, vedlejší kvantové číslo a magnetický moment, který je také kvantovaný.
Vnější magnetické pole porušuje dráhy elektronů v atomu a následkem toho každý stacionární stav s energií E získá další energii ΔE. Tento přírůstek energie je přičnou štěpení spektrálních čar. Pro přírůstek energie se dá odvodit vztah
![]()
kde H je intenzita vnějšího magnetického pole, μB je Bohrův magneton a m magnetické kvantové číslo. To může nabývat hodnoty 0, ± 1, ± 2, … ± l v závislosti na hodnotě vedlejšího kvantového čísla l. Každá hladina se tak rozštěpí ve vnějším magnetickém poli na 2l + 1 vedlejších hladin od sebe vzdálených o ΔE = μBH. Tyto hladiny odpovídají různé orientaci oběžné dráhy elektronu vůči vnějšímu magnetickému poli. Rozostření spektrálních čar, které pozoroval Zeeman bylo způsobeno nižší rozlišovací schopností jeho přístrojů. Teoretická předpověď plně souhlasí pro vodík. Pro ostatní atomy platí jen zřídka. Štěpení spektrálních čar elektrickým polem objevil v roce 1913 Johannes Stark. Jev se podle něj nazývá Starkův jev.
Účinkem vnějšího magnetického pole na atom by rovněž mělo dojít k natočení dráhy elektronu tak, aby vektor magnetického momentu splynul se směrem intenzity vnějšího magnetického pole. Tomu však brání moment hybnosti elektronu, dráha elektronu se chová jako roztočený setrvačník a snaží se zachovat si svoji orientaci v prostoru. Průmět momentu hybnosti do směru magnetického pole označíme bB. Průmět momentu hybnosti příslušející dráze elektronu musí být kvantován a může nabývat jen hodnot celistých násobků konstanty ħ.
![]()
kde m je magnetické kvantové číslo.
Rozložení jednotlivých vektorů.
Zdroj: Techmania Science Center. Autor: Magda Králová. Under Creative Commons.
Sklon dráhy elektronu vzhledem ke směru magnetického pole je pak určen hodnotou úhlu α
![]()
Odtud je zřejmé, že průmět momentu hybnosti do směru magnetického pole bude největší při největší hodnotě magnetického kvantového čísla, tj. m = l. Při hodnotě m = 0 je moment hybnosti kolmý ke směru magnetického pole a jeho průmět je rovněž roven nule. Protože se na dráze s určitým vedlejším kvantovým číslem l může elektron pohybovat dvěma různými směry, jimž přísluší magnetické momenty s opačnou orientací, bude mít magnetické kvantové číslo kladné i záporné hodnoty. Může nabývat hodnot od –l do +l včetně 0. Pro l = 2 může mít hodnoty –2, –1, 0, 1, 2. Fyzikální význam magnetického kvantového čísla spočívá v tom, že určuje orientaci dráhy elektronu v magnetickém poli. Protože každé dráze přísluší v magnetickém poli jiná energie, dochází k rozpadu energetických hladin elektronu na tolik hodnot, kolik je možných drah, a tím i k rozštěpení příslušných spektrálních čar.
V letech 1915 a 1921 byly provedeny dva experimenty, které jsou dnes známy pod označením Einsteinův – de Haasův pokus a Sternův – Gerlachův pokus. První byl zaměřen na studium gyromagnetického poměru látek, který určuje vztah mezi magnetickým momentem a momentem hybnosti, druhý pak na studium magnetického momentu atomů. Výsledky obou experimentů nebylo možné vysvětlit na základě klasických představ. Stejně tak tzv. dublety (dvojice blízkých čar) u některých atomů (vodík, sodík aj. nebylo možné objasnit ani na základě Sommerfeldových představ.
